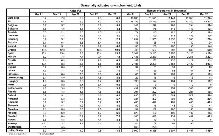
Οριακή υποχώρηση στο 6,8% σημείωσε η ανεργία στην ευρωζώνη τον Μάρτιο από 6,9% που ήταν τον προηγούμενο μήνα και 8,2% που είχε διαμορφωθεί τον Μάρτιο του 2021. Στην Ευρωπαϊκή Ένωση η ανεργία διαμορφώθηκε στο 6,2% από 6,3% τον Μάρτιο και 7,5% τον Μάρτιο του 2021.
Το σύνολο των ανέργων έφθασε στα 13,374 εκατ. άτομα εκ των οποίων τα 11,274 εκατ. στην ευρωζώνη, με την ανεργία των νέων να φθάνει τόσο στην ΕΕ όσο και στην ευρωζώνη στο 13,9% τον Μάρτιο από 14% που ήταν τον προηγούμενο μήνα.
Η ανεργία των γυναικών στην ΕΕ παρέμεινε, σε μηνιαία βάση, αμετάβλητη στο 6%, ενώ των ανδρών υποχώρησε στο 5,9% από 6% που ήταν τον Φεβρουάριο. Στην ευρωζώνη η ανεργία των γυναικών υποχώρησε στο 7,2% από 7,3% που ήταν τον προηγούμενο μήνα, ενώ των ανδρών παρέμεινε αμετάβλητη στο 6,5%.
Μεταξύ των κρατών μελών διψήφια ποσοστά ανεργίας εμφανίζουν Ισπανία στο 13,5% και Ελλάδα στο 12,9%.
